光學斬波器相位抖動特性分析
摘要:
光學斬波器用于向光源引入穩定的調制。該調制的穩定性可以通過抖動來表征,既斬波波形的邊沿時序相對于理想時鐘的變化。抖動可以以時間(秒)或相位(度)為單位表示,因此有時稱為“周期抖動”或“相位抖動”。在本技術說明中,我們定義了光學斬波實驗背景下的抖動,并提供了使用該定義的測量協議和結果。
引言:
顧名思義,光學斬波器用于將連續波光源轉換為用戶定義頻率的斬波波形。斬波周期的變化稱為抖動。通常,斬波周期的高度可重復性至關重要,因此抖動是光學斬波器的關鍵品質因數。因此,了解如何測量抖動對于比較光斬波器產品至關重要。
通過直觀的例子來理解抖動是最容易的。考慮將光學斬波器鎖定到穩定的外部參考頻率[1],并將外部參考和斬波的光學信號饋送到示波器。將示波器配置為在穩定參考的邊沿觸發,通過顯示具有持久性的波形,可以很容易地看到抖動如何影響斬波信號:光信號的抖動將導致其邊沿模糊,如圖1所示。

圖 1:使用示波器可看到抖動。斬波信號邊沿將“抹掉”以周期抖動 σT 為特征的時序分布。通過理想或平均周期 〈T 〉 標準化,可以將其轉換為相位(單位:°)。
如果測量 N 個周期,抖動表示各個測量值 Ti 相對于其平均值 〈T 〉的分布,以峰峰值或 RMS(均方根)表示:

平均抖動可以用秒或度來表示:

抖動特征的時間尺度是多少;即應該收集多少個周期?一般來說,我們選擇的時間尺度足夠長,以便達到抖動的穩定值,但又不能太長,以免斬波器內部計時的長期頻率漂移變得明顯。在實踐中,這通常相當于幾十秒到幾分鐘的數據收集時間尺度,這取決于斬波頻率(N在幾百到幾萬的量級上)。
機械相位還是光學相位?
由于光學斬波器依賴于機械旋轉葉片,每次機械旋轉都會產生多個光學周期,因此已發布的斬波器規范中關于抖動單位的規定存在一些含糊之處:我們是在討論機械相位還是光學相位?
具有 n 個槽的光學斬波輪每機械旋轉 360°,將前進 n×360°opt(光學角度)。我們將這些單位指定為光學度數 (°opt) 和機械度數 (°mech)。圖 2 顯示了 6 槽葉片的區別。

圖2:6槽斬波器葉片的光學相位和機械相位之間的關系。
以機械角度表示抖動可以使測量結果看起來更有利 n 倍。例如,1°mech 的抖動對于 6 槽葉片來說是 6°opt,對于 100 槽葉片來說是 100°opt。然而,光學斬波器用戶對葉片的機械方向不太感興趣,因為理想情況下,所有 n 個槽都是相同的。換句話說,旋轉機械斬波器只是用于調制光源的許多方法中的一種,并且抖動規格及其單位應該與該方法無關。
抖動的來源:
機械斬波器的光學抖動有多種因素,定義和討論如下。
電機速度穩定性:當轉子上施加非零扭矩時,斬波電機的速度會發生變化。這些扭矩本質上是隨機的或者說是確定性的,并且隨著每一次機械旋轉而重復。電機的閉環控制,如SR542所實現的,調整電機驅動以保持固定速度,從而補償這些扭矩。然而,控制回路的增益和帶寬是有限的,所以總是有一些殘留和時變誤差。隨機扭矩產生相位誤差,可以合理地描述為正態分布的噪聲,而確定性誤差在 Φshaft 軸上出現重復。電動機中確定性扭矩的一個特別明顯的來源被稱為齒槽扭矩,該術語旨在喚起諸如滴答作響的時鐘之類的有齒裝置的離散旋轉步驟。齒槽轉矩取決于轉子的角取向,即轉子軸,并且將以隨著每次機械旋轉而重復的模式來調節軸速度。對于直流電動機,齒槽效應是由于轉子和定子之間的磁力變化而產生的。齒槽效應在直流步進電機中非常明顯,在典型的開槽無刷直流電機中也存在。
相比之下,SR542 中使用的無槽無刷直流電機旨在最大限度地減少轉子-定子相互作用力的變化,從而提供均勻的旋轉扭矩。然而,完全消除齒槽效應具有挑戰性,特別是在低速情況下。在較高速度下,轉子的慣性往往會平滑由任何齒槽扭矩引起的加速度。
葉片缺陷:由于任何真實世界的制造過程,斬波器葉片的孔徑位置和寬度都會與理想值存在微小偏差(其中理想值由完美對稱給出:相似邊緣之間的角間距應為360°機械/n)。如果孔徑之間的偏差不同,則會導致光學抖動。然而,這種抖動是確定性的,每次機械旋轉都會重復。同時,均勻影響所有孔徑的系統偏差(例如光蝕刻葉片的蝕刻過度或蝕刻不足)將顯示為占空比中的誤差。這些缺陷可以被認為是葉片的指紋,每個葉片都是獨一無二的。葉片同心度:如果葉片未與電機軸(旋轉軸)同心安裝,則當其移動時經過用戶光束點時,線性槽速度將隨平均值呈正弦變化,從而調制 f 軸處的光周期。葉片同心度可以通過軸、輪轂和斬波葉片之間嚴格的機械公差來優化。葉片翹曲和平面外傾也會導致 Φ 軸產生確定性周期誤差,因此小心處理斬波器葉片以使其保持平整非常重要。
測量和結果:
為了評估上述每種效應對斬波器抖動的影響,我們收集了 N 個周期的光信號,并將測量的周期繪制為時間的函數,以及所有測量值的直方圖。 我們不是以周期為單位繪制(秒),我們是以光學相位(°opt)為單位進行繪制。每個測量周期 Ti 均轉換為相位誤差 δψi,如下所示
其中,T是所有N次測量的平均周期。
相位抖動只是 N 個相位誤差測量的 RMS 值,并可視化為相位誤差直方圖的寬度。

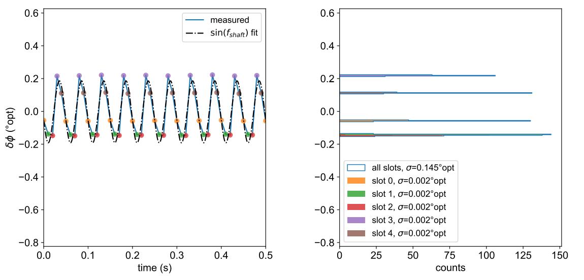
圖 3 為設定點斬波頻率為 1 Hz 的 5 槽葉片的周期誤差與時間的關系示例。原始周期測量與時間的關系如圖 3a 所示。在圖 3b 中,所有測量的周期誤差都被收集到直方圖中。所有周期測量值的直方圖分布寬度(藍色輪廓),以平均值的標準差 (σ) 為特征,為 0.359°opt。該分布包括上面討論的所有抖動源,并代表以 1 Hz 運行的典型斬波實驗會經歷的抖動。

(圖3a左側)周期誤差與時間。數據點根據其槽號進行顏色編碼(即每5個數據點為相同顏色)。對數據進行正弦擬合,頻率等于軸頻率(fchop/5),作為眼睛的引導,以突出對相位誤差的確定性貢獻。僅顯示采集數據的前10次機械旋轉。
(圖3b右側)來自圖3a的直方圖數據。顏色編碼與來自圖3a的顏色編碼匹配。計算“所有槽”和單個槽的σ值,并將其報告為與平均相位誤差的RMS偏差。
對于 n 槽葉片,每第 n 個周期測量都是對同一槽的重復測量。因此,我們為與該葉片的 5 個槽相對應的周期測量值分配不同的顏色。以槽 1 為例(綠色)。它的平均周期誤差約為−0.65°opt。這意味著標記槽位 1 周期結束的邊緣比預期早 0.65°opt。非確定性抖動將綠色分布的寬度設置為僅為 0.070°opt,因此相位誤差從一轉到另一轉的再現性非常好,并且由確定性誤差主導。簡單地說,對于單個槽位,相位誤差的確定性源確定平均值,而非確定性源確定抖動(標準偏差)。
在圖 3a 中,提供了 f軸 處的正弦曲線擬合,以突出 5 槽葉片在這種低斬波頻率下的大部分“全槽” 光學抖動可歸因于相位誤差的確定性來源。從數量上看,“全槽”抖動比“單槽位”平均值大近六倍。然而,歸根結底,典型的斬波器實驗對所有抖動貢獻的總和很敏感,重要的指標是“全槽”抖動。只有當用戶可以將光學快門布置成每第n個光學周期通過一次時,他們才能利用由“單槽位”相位誤差分布 所示的優異可重復性。
請注意,確定性并不一定意味著正弦曲線。雖然安裝同心度會帶來與 Φ 軸呈正弦曲線的周期誤差,但葉片缺陷會引入槽與槽之間的隨機周期誤差(每次機械旋轉都會重復,但不一定是正弦曲線)。根據經驗,我們發現齒槽誤差通常以 ∼sin( Φ軸) 或 ∼sin(2 Φ軸) 形式出現,但這取決于斬波電機的結構。
接下來讓我們看看相位誤差測量值隨斬波頻率的變化。同心度和葉片缺陷將導致與頻率無關的相位誤差,因為它們只取決于幾何形狀。然而,齒槽誤差將在更高的速度下減小,因為位置相關的齒槽加速度將具有更少的時間來改變旋轉軸的速度。因此,通過考慮周期誤差測量的頻率依賴性,可以對確定性貢獻進行一些分離。

(圖4a) 相位誤差與時間的關系。 (圖4b) 相位誤差直方圖。
圖 4:fchop = 100 Hz 時 SR542 5 槽葉片的相位誤差測量。
圖 4 顯示了相同的 5 槽斬波葉片,其運行速度提高了 100 倍,其中 fchop = 100 Hz。與圖 3 相比(為了便于比較,保留了 y 軸比例),很容易看出在較高軸速度下增加角動量的有益效果:f軸 處正弦調制的總體幅度減小,并且每個槽的“單槽”變化大大減少。在此速度下,轉子的慣性“平滑”了齒槽扭矩,剩余的正弦相位誤差可能是由于葉片安裝位置的較小同心度誤差造成的。 同時,在直方圖(圖 4b) 中看到窄峰表明出色的電機速度控制。
請注意,槽 1 和 2(綠色和紅色)彼此重疊,因此僅分辨了 4 個峰。此外,沒有方法可以保證每次試驗中的槽位都是相同的,因此圖 4 中的槽位 0 不一定與圖 3 中的槽位相同。

(圖5a) 相位誤差與時間的關系。 (圖5a) 相位誤差與時間的關系。
圖 5:fchop = 600 Hz 時 SR542 30 槽葉片的相位誤差測量。
圖 5 顯示了 30 槽頻率為600Hz的相位誤差和抖動,在與圖 4 相同的軸速度 f軸 = 20 Hz 下獲得,齒槽效應被很大程度上抑制,并且周期的正弦變化可能是由于同心度誤差造成的(注意與圖 4 類似的正弦幅度)。然而,相位誤差模式不再主要是正弦曲線。我們繼續提供正弦擬合,因為(1)它有助于識別同心度誤差,(2)它可以作為 Φshaft 的參考,強調相位誤差相對于軸方向的重復性。
正弦殘差(減去正弦擬合后剩余的相位誤差)包含來自葉片缺陷(在某種程度上,這些缺陷是隨機的而不是正弦本身)和將高斯噪聲與該指紋卷積的隨機誤差的確定性貢獻。顏色編碼使得很容易看到相位誤差圖案(“指紋”),其隨著每次機械旋轉而高度重復。
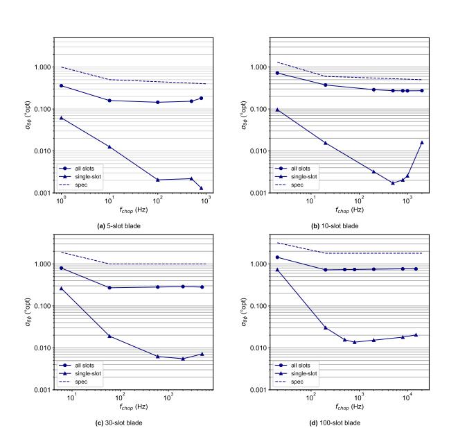
抖動與頻率:
5 槽、10 槽、30 槽和 100 槽斬波葉片的抖動數據與斬波頻率的函數關系如圖 6 所示。圓圈表示“所有槽”RMS 抖動,而三角形表示平均值。每個斬波頻率處的 n 個“單槽”抖動值。這些圖中還顯示了每個斬波器葉片的已發布抖動規格(虛線)。

圖6:RMS相位誤差與頻率的關系。
抖動與葉片和頻率相關,但這些圖中確實出現了一些總體趨勢。在低速下,小力(隨機的和確定性的,即齒槽效應)會對相位誤差產生很大的影響,這一點在最低斬波速率下“所有槽”和“單槽”指標觀察到的抖動增加中顯而易見。 SR542 斬波器頭的工廠校準包括齒槽加速度的測量。這些測量結果用于計算 SR542 控制器用于消除齒槽轉矩的補償電流。因此,我們能夠將斬波器的工作范圍擴展到比上一代斬波器慢一個數量級的軸速度。除了最低的軸速度之外,“全槽”抖動通常會接近某個漸近值,即由葉片缺陷和同心度誤差的頻率無關貢獻設定的本底噪聲,而“單槽”抖動繼續由于慣性平滑而改善。
表1中列出了實測性能和已發布規格的表格比較。為簡單起見,為每個葉片選擇單個斬波頻率。顯示了“所有槽”和“單槽”抖動值,但由于“所有槽”測量與大多數斬波實驗相關,因此應將該值與已發布的規格進行比較。

表1:各種斬波器葉片在選定斬波頻率下的相位抖動。
結論:
最后,在比較不同光斬波器的抖動規格時,請注意單位。光學度數的使用是最相關和透明的。此外,應該使用所考慮的葉片的所有槽來計算抖動統計數據。
這里提出的分析使用相位誤差測量與時間的關系以及相應的直方圖,對于隔離各種抖動源具有指導意義,特別是在多個頻率設定點重復時。這種分析有助于了解機械斬波器的優點和局限性,為實驗操作參數的選擇提供信息,或診斷大于預期的相位噪聲。
有幾個來源會影響斬波光束上的整體抖動。可以是隨機的或確定性的,并且隨著機械旋轉而重復,如齒槽扭矩、葉片缺陷和葉片的非同心安裝等情況。一些確定性來源(齒槽效應和同心度)將與 Φ軸(或其諧波)大致呈正弦關系,而其他來源(葉片缺陷)可以作為軸方向的函數隨機分散。通常,以可用的最高軸速度進行斬波有利于消除齒槽扭矩引起的誤差。同時,葉片缺陷和同心度會產生與頻率無關的誤差。為了最大限度地減少同心度誤差,在將葉片安裝到輪轂上時應注意不要引入徑向偏移。最后,由于葉片制造誤差通常具有固定的橫向尺寸,因此這些誤差將對較高槽數的葉片產生更顯著的影響,因此使用盡可能少的槽數也是有利的。
參考文獻
[1] Dana F. Geiger. Phaselock Loops for DC Motor Speed Control. John Wiley & Sons, 1981.






























































































13810233784
在線咨詢
